岳阳市2021年度在职职工医疗(住院)互助项目二次补助名单及拟补助金额公示
岳阳市2021年度在职职工医疗(住院)互助项目二次补助名单及拟补助金额公示
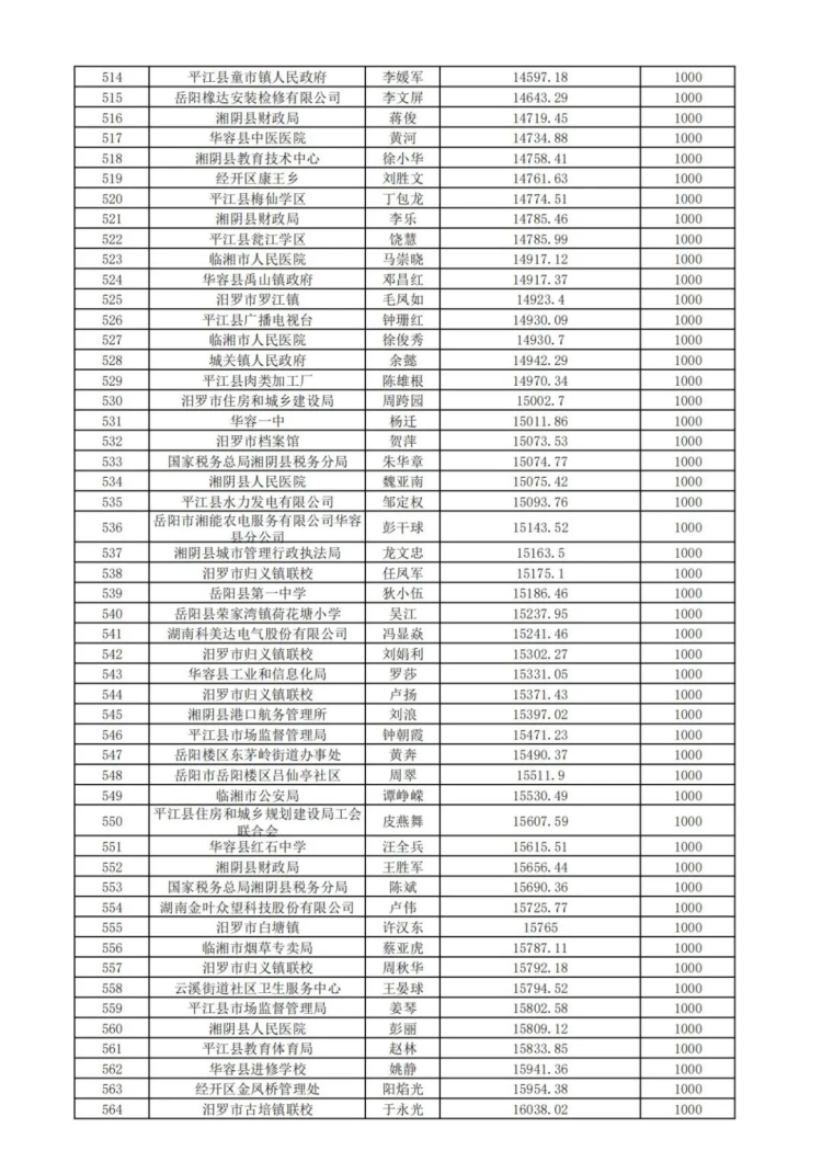
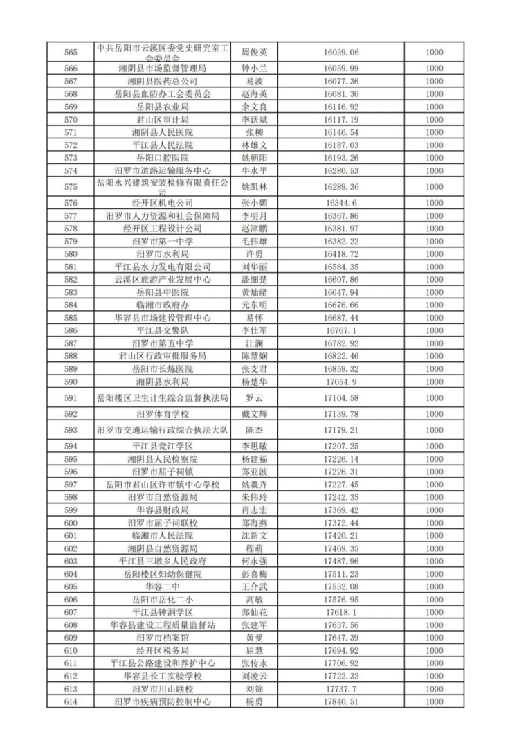
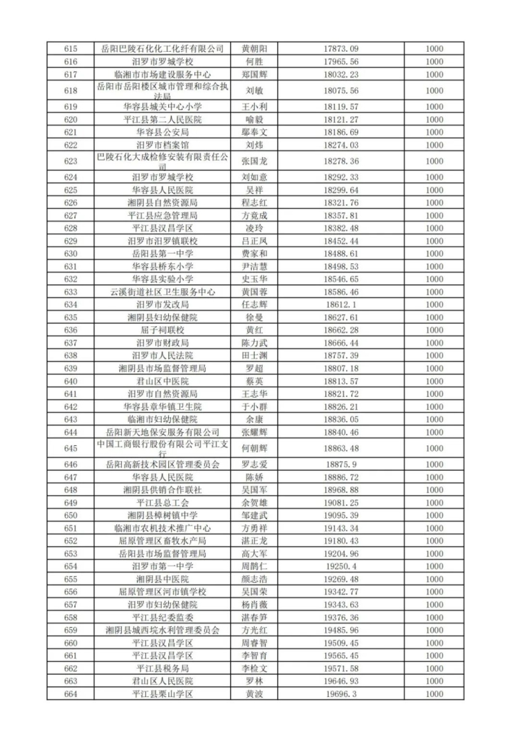
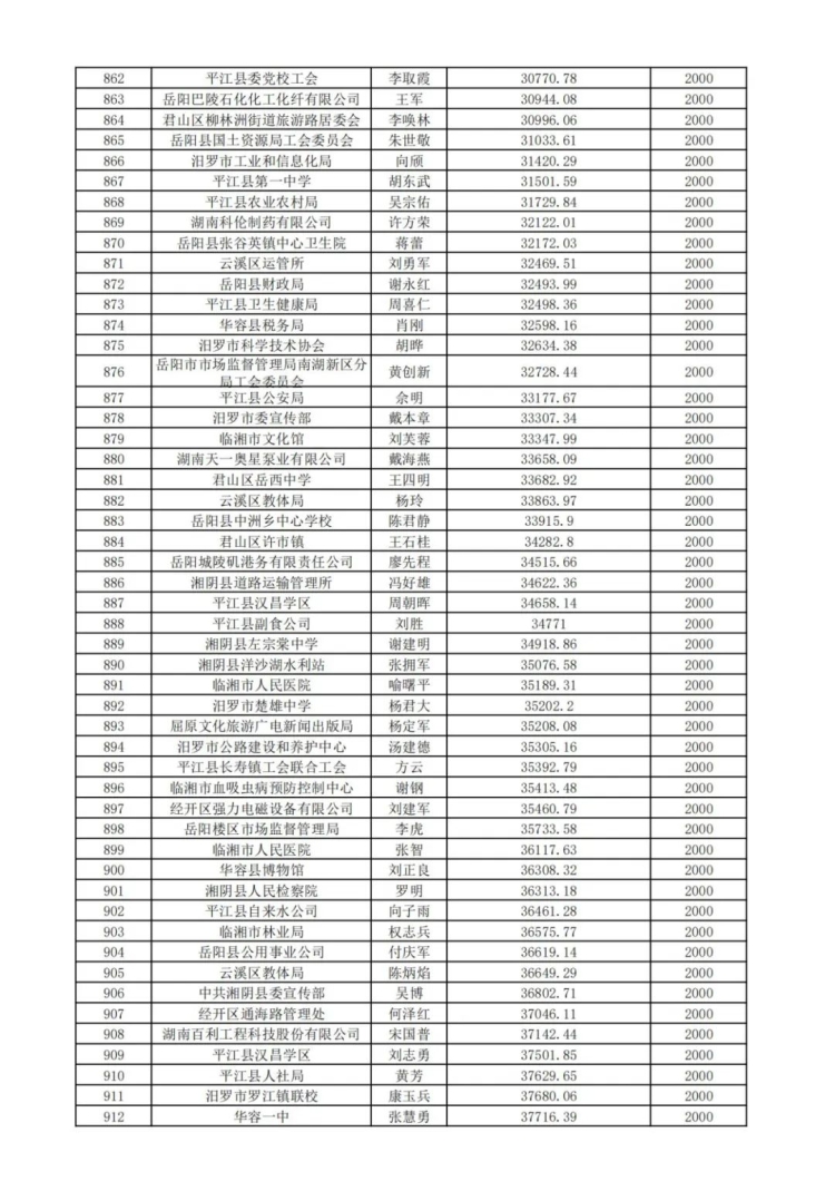
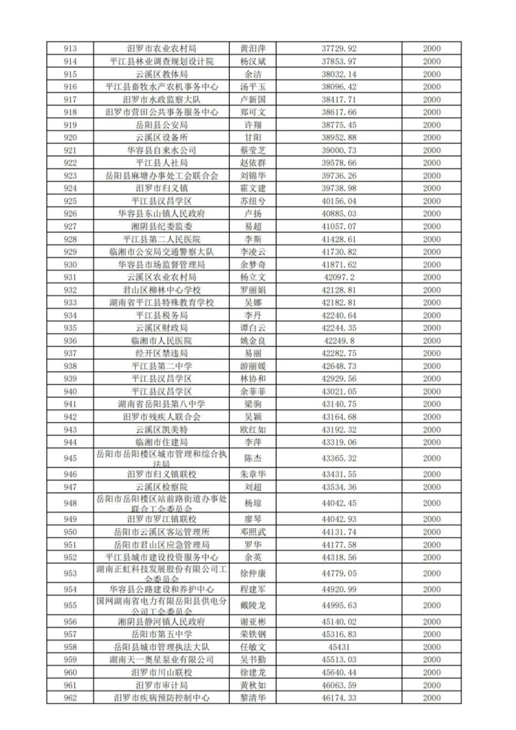
依据中华全国总工会《职工互助保障组织监督管理办法》和湖南省总工会《湖南省工会职工医疗互助资金使用管理暂行办法》的有关规定和要求,经市总工会党组会议研究同意并提交市医疗互助会理事会表决通过,拟对岳阳市2021年度第七期职工医疗互助活动中进行过补助且二次补助基数大于1万元的1054名职工(不包括已享受第二期湖南省总工会大病关爱的人员)进行二次补助,现予以公示:
一、公示时间:2022年12月21日——2022年12月28日。
二、公示内容:岳阳市2021年度在职职工医疗(住院)互助项目二次补助名单及拟补助金额(见附件)。
公示说明:公示期间,如对拟补助名单、补助金额等情况有异议,请于2022年12月28日17:00前向岳阳市困难职工帮扶中心反映。
联系电话:0730-8726833 0730-8726825
岳阳市总工会
2022年12月21日
附件:





















